6.3 Factor Special Products
Topics covered in this section are:
We have seen that some binomials and trinomials result from special products—squaring binomials and multiplying conjugates. If you learn to recognize these kinds of polynomials, you can use the special products patterns to factor them much more quickly.
6.3.1 Factor Perfect Square Trinomials
Some trinomials are perfect squares. They result from multiplying a binomial times itself. We squared a binomial using the Binomial Squares pattern in a previous chapter.

The trinomial $9x^{2}+24x+16$ is called a perfect square trinomial. It is the square of the binomial $3x+4$.
In this chapter, you will start with a perfect square trinomial and factor it into its prime factors.
You could factor this trinomial using the methods described in the last section, since it is of the form $ax^{2}+bx+c$. But if you recognize that the first and last terms are squares and the trinomial fits the perfect square trinomials pattern, you will save yourself a lot of work.
Here is the pattern—the reverse of the binomial squares pattern.
PERFECT SQUARE TRINOMIALS PATTERN
If $a$ and $b$ are real numbers
$a^{2}+2ab+b^{2}=(a+b)^{2}$
$a^{2}−2ab+b^{2}=(a−b)^{2}$
To make use of this pattern, you have to recognize that a given trinomial fits it. Check first to see if the leading coefficient is a perfect square, $a^{2}$. Next check that the last term is a perfect square, $b^{2}$. Then check the middle term—is it the product, $2ab$? If everything checks, you can easily write the factors.
Example 1
Factor: $9x^{2}+12x+4$.
Solution



The sign of the middle term determines which pattern we will use. When the middle term is negative, we use the pattern, $a^{2}−2ab+b^{2}$, which factors to $(a−b)^{2}$.
The steps are summarized here.
HOW TO: Factor perfect square trinomials
| Step 1. | Does the trinomial fit the pattern? | $a^{2}+2ab+b^{2}$ | $a^{2}-2ab+b^{2}$ |
| Is the first term a perfect square? | |||
| Write it as a square. | $(a)^{2}$ | $(a)^{2}$ | |
| Is the last term a perfect square? | |||
| Write it as a square. | $(a)^{2} \ \ \ \ \ \ \ \ \ \ \ (b)^{2}$ | $(a)^{2} \ \ \ \ \ \ \ \ \ \ \ (b)^{2}$ | |
| Check the middle term. Is it $2ab$? | $(a)^{2} \ _\searrow \ \ \ \ _\swarrow (b)^{2}$ $2 \cdot a \cdot b$ | $(a)^{2} \ _\searrow \ \ \ \ _\swarrow (b)^{2}$ $2 \cdot a \cdot b$ | |
| Step 2. | Write the square of the binomial. | $(a+b)^{2}$ | $(a-b)^{2}$ |
| Step 3. | Check by multiplying. |
We’ll work one now where the middle term is negative.
Example 2
Factor: $81y^{2}-72y+16$.
Solution
The first and last terms are squares. See if the middle term fits the pattern of a perfect square trinomial. The middle term is negative, so the binomial square would be $(a-b)^{2}$.
| $81y^{2}-72y+16$ | |
| Are the first and last terms perfect squares? | $(9y)^{2} \ \ \ \ \ \ \ \ \ \ (4)^{2}$ |
| Check the middle term. | $(9y)^{2} \ \ \ \ \ \ \ \ \ (4)^{2}$ $\searrow \ \ \ \ \ \swarrow$ $2(9y)(4)$ $72y$ |
| Does it match $(a-b)^{2}$? Yes. | $\textcolor{red}{a^{2} \ \ – \ \ \ 2 \ \ \ \ a \ \ \ \ \ b \ + b^{2}}$ $(9y)^{2}-2 \cdot 9y \cdot 4 + (4)^{2}$ |
| Write as the square of a binomial. | $(9y-4)^{2}$ |
| Check my multiplying: | $(9y-4)^{2}$ $(9y)^{2}-36y-36y+16$ $81y^{2}-72y+16 \ \checkmark$ |
The next example will be a perfect square trinomial with two variables.
Example 3
Factor: $36x^{2}+84xy+49y^{2}$.
Solution
| $36x^{2}+84xy+49y^{2}$ | |
| Test each term to verify the pattern. | $\textcolor{red}{a^{2} \ + \ 2 \ \ \ a \ \ \ b \ + \ b^{2}}$ $(6x)^{2}+2 \cdot 6x \cdot 7y + (7y)^{2}$ |
| Factor. | $(6x+7y)^{2}$ |
| Check by multiplying: | $(6x+7y)^{2}$ $(6x)^{2}+42xy +42xy+ (7y)^{2}$ $36x^{2}+84xy+49y^{2} \ \checkmark$ |
Remember the first step in factoring is to look for a greatest common factor. Perfect square trinomials may have a GCF in all three terms and it should be factored out first. And, sometimes, once the GCF has been factored, you will recognize a perfect square trinomial.
Example 4
Factor: $100x^{2}y-80xy+16y$.
Solution
| $100x^{2}y-80xy+16y$ | |
| Is there a GCF? Yes $4y$, so factor it out. | $4y(25x^{2}-20x+4)$ |
| Is this a perfect square trinomial? | |
| Verify the pattern. | $\textcolor{red}{\ \ \ \ \ \ a^{2} \ \ – \ 2 \ \ a \ \ b \ + b^{2}}$ $4y[(5x)^{2} – 2 \cdot 5x \cdot 2 + (2)^{2}]$ |
| Factor. | $4y(5x-2)^{2}$ |
Remember: Keep the factor $4y$ in the final product.
Check:
$4y(5x-2)^{2}$
$4y[(5x)^{2}-10x-10x+(2)^{2}]$
$4y(25x^{2}-20x+4)$
$100x^{2}y-80xy+16y \ \checkmark$
6.3.2 Factor Differences of Squares
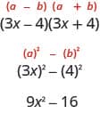
The other special product you saw in the previous chapter was the Product of Conjugates pattern. You used this to multiply two binomials that were conjugates. Here’s an example:

A difference of squares factors to a product of conjugates.
DIFFERENCE OF SQUARES PATTERN
If $a$ and $b$ are real numbers,

Remember, “difference” refers to subtraction. So, to use this pattern you must make sure you have a binomial in which two squares are being subtracted.
Example 5
Factor: $64y^{2}-1$.
Solution
| Step 1. Does the binomial fit the pattern? • Is this a difference? Yes. • Are the first and last terms perfect squares? Yes. | $64y^{2}-1$ $64y^{2} \textcolor{red}{-} 1$ |
| Step 2. Write them as squares. | $\textcolor{red}{a^{2} \ \ – \ b^{2}}$ $(8y)^{2}-(1)^{2}$ |
| Step 3. Write the product of the conjugates. | $\textcolor{red}{a(a \ – \ b)(a \ + \ b)}$ $(8y-1)(8y+1)$ |
| Step 4. Check. | $(8y-1)(8y+1)$ $(8y)^{2}+8y-8y-1$ $64y^{2}-1 \ \checkmark$ |
HOW TO: Factor differences of squares
| Step 1. | Does the binomial fit the pattern? | $a^{2}-b^{2}$ |
| Is this a difference? | _______ – _______ | |
| Are the first and last terms perfect squares? | ||
| Step 2. | Write them as squares. | $(a)^{2}-(b)^{2}$ |
| Step 3. | Write the product of conjugates. | $(a-b)(a+b)$ |
| Step 4. | Check by multiplying. |
It is important to remember that sums of squares do not factor into a product of binomials. There are no binomial factors that multiply together to get a sum of squares. After removing any GCF, the expression $a^{2}+b^{2}$ is prime!
The next example shows variables in both terms.
Example 6
Factor: $144x^{2}-49y^{2}$.
Solution
| $144x^{2}-49y^{2}$ | |
| Is this a difference of squares? Yes. | $(12x)^{2}-(7y)^{2}$ |
| Factor the product of conjugates. | $(12x-7y)(12x+7y)$ |
| Check by multiplying. | $(12x-7y)(12x+7y)$ $144x^{2}-49y^{2} \ \checkmark$ |
As always, you should look for a common factor first whenever you have an expression to factor. Sometimes a common factor may “disguise” the difference of squares and you won’t recognize the perfect squares until you factor the GCF.
Also, to completely factor the binomial in the next example, we’ll factor a difference of squares twice!
Example 7
Factor: $48x^{4}y^{2}-243y^{2}$.
Solution
| $48x^{4}y^{2}-243y^{2}$ | |
| Is there a GCF? Yes, $3y^{2}$ – factor it out! | $3y^{2}(16x^{4}-81)$ |
| Is the binomial a difference of squares? Yes. | $3y^{2}\left( (4x^{2})^{2}-(9)^{2} \right)$ |
| Factor as a product of conjugates. | $3y^{2}(4x^{2}-9)(4x^{2}+9)$ |
| Notice the first binomial is also a difference of squares. | $3y^{2}\left( (2x)^{2}-(3)^{2} \right) (4x^{2}+9)$ |
| Factor it as the product of conjugates. | $3y^{2}(2x-3)(2x+3)(4x^{2}+9)$ |
| The last factor, the sum of squares, cannot be factored. | |
| Check by multiplying: | $3y^{2}(2x-3)(2x+3)(4x^{2}+9)$ $3y^{2}(4x^{2}-9)(4x^{2}+9)$ $3y^{2}(16x^{4}-81)$ $48x^{4}y^{2}-243y^{2} \ \checkmark$ |
The next example has a polynomial with $4$ terms. So far, when this occurred we grouped the terms in twos and factored from there. Here we will notice that the first three terms form a perfect square trinomial.
Example 8
Factor: $x^{2}-6x+9-y^{2}$.
Solution
Notice that the first three terms form a perfect square trinomial.
| $x^{2}-6x+9-y^{2}$ | |
| Factor by grouping the first three terms. | $\underbrace{x^{2}-6x+9}-y^{2}$ |
| Use the perfect square trinomial pattern. | $(x-3)^{2}-y^{2}$ |
| Is this a difference of squares? | |
| Yes – write them as squares. | $\textcolor{red}{a^{2} \ \ \ – \ \ \ b^{2}}$ $(x-3)^{2}-y^{2}$ |
| Factor as the product of conjugates. | $((x-3)-y)((x-3)+y)$ |
| $(x-3-y)(x-3+y)$ |
You may want to write the solution as $(x-y-3)(x+y-3)$.
6.3.3 Factor Sums and Differences of Cubes
There is another special pattern for factoring, one that we did not use when we multiplied polynomials. This is the pattern for the sum and difference of cubes. We will write these formulas first and then check them by multiplication.
$a^{3}+b^{3}=(a+b)(a^{2}-ab+b^{2})$
$a^{3}-b^{3}=(a-b)(a^{2}+ab+b^{2})$
We’ll check the first pattern and leave the second to you.
| $\textcolor{red}{(a+b)}(a^{2}-ab+b^{2})$ | |
| Distribute. | $\textcolor{red}{a}(a^{2}-ab+b^{2})+\textcolor{red}{b}(a^{2}-ab+b^{2})$ |
| Multiply. | $a^{3}-a^{2}b+ab^{2}+a^{2}b-ab^{2}+b^{3}$ |
| Combine like terms. | $a^{3}+b^{3}$ |
SUM AND DIFFERENCE OF CUBES PATTERN
$a^{3}+b^{3}=(a+b)(a^{2}-ab+b^{2})$
$a^{3}-b^{3}=(a-b)(a^{2}+ab+b^{2})$
The two patterns look very similar, don’t they? But notice the signs in the factors. The sign of the binomial factor matches the sign in the original binomial. And the sign of the middle term of the trinomial factor is the opposite of the sign in the original binomial. If you recognize the pattern of the signs, it may help you memorize the patterns.

The trinomial factor in the sum and difference of cubes pattern cannot be factored.
It will be very helpful if you learn to recognize the cubes of the integers from $1$ to $10$, just like you have learned to recognize squares. We have listed the cubes of the integers from $1$ to $10$ in Table 6.1.
| $n$ | $1$ | $2$ | $3$ | $4$ | $5$ | $6$ | $7$ | $8$ | $9$ | $10$ |
|---|---|---|---|---|---|---|---|---|---|---|
| $n^{3}$ | $1$ | $8$ | $27$ | $64$ | $125$ | $216$ | $343$ | $512$ | $729$ | $1000$ |
Example 9
Factor: $x^{3}+64$.
Solution





HOW TO: Factor the sum or difference of cubes.
- Does the binomial fit the sum or difference of cubes pattern?
Is it a sum or difference?
Are the first and last terms perfect cubes? - Write them as cubes.
- Use either the sum or difference of cubes pattern.
- Simplify inside the parentheses.
- Check by multiplying the factors.
Example 10
Factor: $27u^{3}-125v^{3}$.
Solution
| $27u^{3}-125v^{3}$ | |
| This binomial is a difference. The first and last terms are perfect cubes. | |
| Write the terms as cubes. | $\textcolor{red}{a^{2} \ \ \ – \ \ \ b^{2}}$ $(3u)^{3}-(5v)^{3}$ |
| Use the difference of cubes pattern. | |
| Simplify. | |
| Check by multiplying. | We’ll leave the check to you. |
In the next example, we first factor out the GCF. Then we can recognize the sum of cubes.
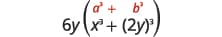
Example 11
Factor: $6x^{3}y+48y^{4}$.
Solution
| $6x^{3}y+48y^{4}$ | |
| Factor out the common factor. | $6y(x^{3}+8y^{3})$ |
| This binomial is a sum. The first and last terms are perfect cubes. | |
| Write the terms as cubes. | ![]() |
| Use the difference of cubes pattern. | |
| Simplify. | $6y(x+2y)(x^{2}-2xy+4y^{2})$ |
Check:
To check, you may find it easier to multiply the sum of cubes factors first, then multiply that product by $6y$. We’ll leave the multiplication for you.
The first term in the next example is a binomial cubed.
Example 12
Factor: $(x+5)^{3}-64x^{3}$.
Solution
| $(x+5)^{3}-64x^{3}$ | |
| This binomial is a difference. The first and last terms are perfect cubes. | |
| Write the terms as cubes. | $\textcolor{red}{a^{2} \ \ \ – \ \ \ b^{2}}$ $(x+5)^{3}-(4x)^{3}$ |
| Use the difference of cubes pattern. | |
| Simplify. | $(x+5)-4x)(x^{2}+10x+25+4x^{2}+20x+16x^{2})$ |
| $(-3x+5)(21x^{2}+30x+25)$ | |
| Check by multiplying. | We’ll leave the check to you. |
Licenses & Attributions
CC Licensed Content, Original
- Revision and Adaption. Provided by: Minute Math. License: CC BY 4.0
CC Licensed Content, Shared Previously
- Marecek, L., & Mathis, A. H. (2020). Factor Special Products. In Intermediate Algebra 2e. OpenStax. https://openstax.org/books/intermediate-algebra-2e/pages/6-3-factor-special-products. License: CC BY 4.0. Access for free at https://openstax.org/books/intermediate-algebra-2e/pages/1-introduction

